
產品與解決方案/PRODUCT AND SOLUTIONS
少用電 用好電 再生電 存儲電 防爆電
解決方案
高壓變頻器在300MW火力發電廠中的應用
1引言
湖北某火力發電有限公司300MW循環流化床機組分別于2009年11月投產發電。鍋爐采用東方鍋爐(集團)公司生產的循環流化床、中間再熱自然循環汽包爐,露天布置;汽輪機采用東方汽輪機公司生產的C300-16.67/1.0/537/537型亞臨界中間再熱、單軸、抽凝兩用汽式汽輪機;發電機采用東方電機公司生產的QFSN-330-2-20型水氫冷卻發電機,勵磁系統為自并勵靜止勵磁。
該工程于2012年6月25日開工,改造采取總包形式,含電控、機械、土建以及水冷空調施工等工作,即由賣方完成所有供貨、安裝、調試工作,完成試運行168小時無問題后交業主。改造由新風光電子公司負責施工,并于2012年10月完成#1機組的改造,項目一次投運成功,至今運行正常。
2改造現場風機電機、液偶參數
表1 改造現場風機電機、液偶參數 | ||||
名稱 | 額定電流 | 額定轉速 | 功率因數 | 液偶型號及參數 |
引風機 | 243A | 994 | 0.87 | Y0T01150/3500kW/1000 r/min /3% |
一次風機 | 207A | 1493 | 0.87 | Y0T0875H/2900kW/1500 r/min /3% |
圖1所示為300MW火電機組引風機性能曲線示意圖,該風機為離心式,進口導葉調節風量,圖中0o 為調節門全開位置,負值為調節門向關閉方向轉動的角度;圖中虛線為等效率線。離心式風機的最高效率在進口調節門的最大開度處,等效率線和鍋爐阻力曲線接近垂直,效率沿阻力線迅速下降。

3 風機節能原理
該機組一次風機、引風機采用離心風機,但實際運行效率并不高,其主要原因之一是風機的調速性能差,二是運行點遠離風機的最高效率點。火電機組的一次風機、引風機的風量裕度分別為5%和7%左右,風壓裕度分別為10%和13%左右。這是因為在設計過程中,很難準確地計算出管網的阻力,并考慮到長期運行過程中可能發生的各種問題,所以把系統的最大風量和風壓富裕量作為選擇風機型號的設計值。但風機的型號和系列是有限的,選用不到合適的風機型號,只好往大機號上靠。這樣,機組一次風機、引風機的風量和風壓富裕度是比較大的。
該機組風機的風量與風壓的富裕度以及機組的調峰運行導致風機的運行工況點與設計高效點相偏離,從而使風機的運行效率大幅度下降。可見,一次風機、引風機的用電量中,很大一部分是因風機的型號與管網系統的參數不匹配及調節方式不當而被調節門消耗掉的。因此,改進離心風機的調節方式是提高風機效率,降低風機耗電量的有效途徑。
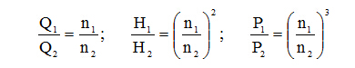
按照流體機械的相似定律,風機、水泵的流量Q、壓頭(揚程)H、軸功率P與轉速n之間有如下比例關系:

離心式風機在變速調節的過程中,如果不考慮管道系統阻力R的影響,且風壓H隨流量Q成平方規律變化,則風機的效率可在一定的范圍內保持最高效率不變(只有在負荷率低于80%時才略有下降)。圖2示出了離心式風機不同調節方式耗電特性比較,圖3示出了采用風門調節和轉速調節方式時,風機的效率-流量曲線。

圖2離心式風機不同調節方式耗電特性比較 圖3不同調節方式下的風機效率
由圖3可知:在風機的風量由100%下降到50%時,變速調節與風門調節方式相比,風機的效率平均高出30%以上。因而,從節能的觀點來看,變速調節方式為較佳調節方式。發電廠風機采用定速驅動時,風機靠風門調節,除產生大量的節流損耗外,反應速度慢,導致鍋爐的燃燒自動無法投入,因而機組的協調控制無法投入,機組無法響應負荷的動態變化。風機采用調速驅動后,機組的可控性提高了,響應速度加快,控制精度也提高了。從而使整個機組的控制性能大大改善,不但改善了機組的運行狀況,還可以大大節約燃料,進一步節約能源。同時,采用變速調節以后,可以有效地減輕葉輪和軸承的磨損,延長設備使用壽命,降低噪聲,大大改善起動性能。工藝條件的改善也能夠產生巨大的經濟效益。
4風機變頻改造控制方案
本工程主要是高壓變頻器的安裝、調試與運行,通過變頻器的安裝、調試記錄,來驗證變頻器使用現場工況的情況。#1機組主要改造的是兩臺引風機和兩臺一次風機,為保證電廠鍋爐系統的安全運行,變頻器采用工變頻自動轉換機型,高壓變頻器在轉換過程中1秒內再次啟動,沖擊電流在額定的1.2倍以下。根據用戶對機組引風機、一次風機工頻生產的運行數據統計,風機處于輕載狀態,即使在機組300M負荷下,引風機工頻狀態電機電流僅160A左右,遠小于額定電流243A;一次風機工頻狀態120A左右,遠小于工頻電流207A,根據運行經驗以及降低采購成本,電廠領導決定采用新風光電子科技股份有限公司生產的3000kW/10kV(JD-BP38系列)高壓變頻器和2200kW/10kV(JD-BP38系列)高壓變頻器分別拖動引風機和一次風機。
高壓變頻調速系統控制系統具有就地監控和遠方監控兩種方式現場可選。在就地監控方式下,通過變頻裝置上的觸摸式鍵盤和按鈕操作、控制器的LCD/LED顯示,可進行就地人工啟動、停止變頻裝置,可以調整轉速、頻率,就地控制窗口采用中文操作界面,功能設定、參數設定等均采用中文。在遠方監控方式下,可通過自動控制系統(如DCS)及手動操作器進行操作,操作簡單,并具備頻率、電機電流、電壓、頻率等參數的實時顯示及開、停等故障顯示功能。
高壓變頻調速系統具有完善的自診斷和保護功能,具有輸入過壓、欠壓、過流保護,輸出相間短路、過流、單相接地、過載、過熱、IGBT擊穿或短路、單元故障、瞬時停電保護等保護并能聯跳輸入側進線開關,保護性能符合國家有關標準的規定。變頻裝置還能提供電動機所需的過載、過流、過壓、欠壓、熱積累、缺相等保護。變頻裝置內任何部分發生嚴重故障時,具有及時動作的保護功能,不會對電網和負載設備造成沖擊和損壞。
#1爐高壓變頻器共安裝調試4臺,分別為:#1爐A引風機、#1爐B引風機、#1爐A一次風機、#1爐B一次引風機。
5 風光JD-BP38系列高壓變頻系統技術參數
新風光電子公司生產的風光牌JD-BP38系列高壓變頻器以高速DSP為控制核心,采用無速度矢量控制技術、功率單元串聯多電平技術,屬高-高電壓源型變頻器,其諧波指標小于IEEE519-1992的諧波標準,輸入功率因數高,輸出波形質量好,不必采用輸入諧波濾波器、功率因數補償裝置和輸出濾波器;不存在諧波引起的電機附加發熱和轉矩脈動、噪音、輸出dv/dt、共模電壓等問題,可以使用普通的異步電機。
JD-BP38-3000F高壓變頻器技術參數如表2所示。
表2 JD-BP38-3000F 高壓變頻器主要技術參數 | |||
變頻器容量(kW) | 3000 | 模擬量輸入 | 0~5V/4~20mA,任意設定 |
適配電機功率(kW) | 3000 | 模擬量輸出 | 兩路0~5V/4~20mA可選 |
額定輸出電流(A) | 217 | 加減速時間 | 1~32000s |
輸入頻率(Hz) | 45~55 | 開關量輸入輸出 | 可按用戶要求擴展 |
額定輸入電壓(V) | 10000V(-20%~+15%) | 運行環境溫度 | 0~40℃ |
輸入功率因數 | >0.95(>20%負載) | 貯存/運輸溫度 | -40~70℃ |
變頻器效率 | 額定負載下>0.96 | 冷卻方式 | 強迫風冷 |
輸出頻率范圍(Hz) | 0~120 | 環境濕度 | <90%,無凝結 |
輸出變頻分辨率(Hz) | 0.01 | 安裝海拔高度 | <1000m,高海拔降額使用 |
過載能力 | 105%連續,150%允許1min。 | 防護等級 | IP20 |
JD-BP38-2200F高壓變頻器技術參數如表3所示。
表3 JD-BP38-2200F 高壓變頻器主要技術參數 | |||
變頻器容量(kW) | 2200 | 模擬量輸入 | 0~5V/4~20mA,任意設定 |
適配電機功率(kW) | 2200 | 模擬量輸出 | 兩路0~5V/4~20mA可選 |
額定輸出電流(A) | 159 | 加減速時間 | 1~32000s |
輸入頻率(Hz) | 45~55 | 開關量輸入輸出 | 可按用戶要求擴展 |
額定輸入電壓(V) | 10000V(-20%~+15%) | 運行環境溫度 | 0~40℃ |
輸入功率因數 | >0.95(>20%負載) | 貯存/運輸溫度 | -40~70℃ |
變頻器效率 | 額定負載下>0.96 | 冷卻方式 | 強迫風冷 |
輸出頻率范圍(Hz) | 0~120 | 環境濕度 | <90%,無凝結 |
輸出變頻分辨率(Hz) | 0.01 | 安裝海拔高度 | <1000m,高海拔降額使用 |
過載能力 | 105%連續,150%允許1min。 | 防護等級 | IP20 |
6變頻改造主回路介紹
湖北某火力發電廠1#爐引風機采用2套JD-BP38-3000F(3000kW/10kV)、一次風機采用2套JD-BP38-2200F(2200kW/10kV)高壓變頻調速系統進行調速控制,將原液力耦合器拆除,把電機位置前移,采用聯軸器直接連接電機與風機。液力耦合器改造前后的現場如圖4、圖5所示。

圖4 液力耦合器改造前
圖5 液力耦合器改造后
引風機、一次風機系統改造主回路如圖6所示。

圖6 引風機、一次風機旁路柜原理圖
1#爐引風機、一次風機改造前采用工頻運行,對4臺風機增設變頻調速裝置,采用一拖一自動旁路的方式。將原風機風門調節的運行方式改為由變頻調節風機風量的運行方式。當變頻器故障或檢修,可選擇自動方式切換至工頻運行。當風機變頻運行時在DCS界面上調節風機頻率去調整風機轉速,從而達到調節風機風量的目的。
為了保證發電機組安全運行,風機的動力系統方案旁路方案采用自動控制方式。在旁路自動狀態下,若變頻器出現故障且自動投入允許,系統將首先分斷變頻器高壓輸入、輸出開關,經過一定延時后,工頻旁路開關合閘,電機投入電網工頻運行。同時DCS邏輯將風量調節方式轉為工頻調節方式,此時運行人員參與調節,控制風量風壓正常,確保爐膛燃燒穩定。
變頻器維修完成,系統恢復變頻器運行時,可以關閉引風機出口擋板,依靠單臺變頻風機帶鍋爐50%~70%的負荷,將風機切換至變頻運行方式,依托變頻器提供的飛車啟動功能,在風機沒有完全停止的情況下恢復設備運行,從而大大減少機組減負荷的時間。
主回路如圖6所示,控制具體介紹如下,旁路柜在變頻器進、出線端增加了兩個隔離刀閘,以便在變頻器退出而電機運行于旁路時,能安全地進行變頻器的故障處理或維護工作。
旁路柜主要配置:三個真空斷路器(QF1、QF2、QF3)和兩個刀閘隔離開關K1、K2。QF2與QF3實現電氣互鎖,當QF1、QF2閉合,QF3斷開時,電機變頻運行;當QF1、QF2斷開,QF3閉合時,電機工頻運行。另外,QF1閉合時,K1操作手柄被鎖死,不能操作;QF2閉合時,K2操作手柄被鎖死,不能操作。‘
電機工頻運行時,若需對變頻器進行故障處理或維護,切記在QF1、QF2分閘狀態下,將隔離刀閘K1和K2斷開。
合閘閉鎖:將變頻器“合閘允許”信號串聯于QF1、QF2合閘回路。在變頻器故障或不就緒時,真空斷路器QF1、QF2合閘不允許;在QF1、QF2合閘狀態下,若變頻器出現故障,則“合閘允許”斷開,QF1、QF2跳閘,分斷變頻器高壓輸入電源。
變頻轉工頻自動旁路投入過程:將變頻器“旁路投入”信號并聯于QF3合閘回路。變頻運行狀態下,若變頻器出現故障且自動投入允許,系統將首先分斷變頻器高壓輸入、輸出開關QF1和QF2,經過一定延時后,“旁路投入”閉合,即工頻旁路開關QF3合閘,電機投入電網工頻運行,并把旁路狀態信號發送給DCS。同時DCS邏輯自動將風機轉為工頻相應風門調節方式。
如變頻器發生隱患,變頻器發送“變頻器報警”信號至DCS,此時變頻器繼續運行,檢修人員可到本地根據變頻器報警信號的信息排除隱患。
7 風機變頻改造效果
7.1節能計算
湖北某發電廠1#爐風機變頻改造工程一次成功投運,至今運行正常,改造達到了預期目的。高壓變頻器現場運行如圖7所示。
圖7 高壓變頻器現場運行
以下是1#機組2臺引風機、2臺一次風機高壓變頻器運行后,對改造前與改造后機組各負荷生產數據進行比較,改造前后1#鍋爐運行統計數據如表4--表8所示。
7.1.1引風機工變頻運行數據
(1)引風機工頻運行參數(風門擋板開度100%)
表4 引風機工頻運行參數 | |||||
負荷 | 風機A | 風機B | 概率 | ||
電流(A) | 轉速(r/min) | 電流(A) | 轉速(r/min) | ||
230MW | 109 | 516 | 110 | 529 | 25% |
250MW | 111 | 568 | 111 | 574 | 35% |
280MW | 139 | 642 | 143 | 672 | 30% |
300MW | 160 | 725 | 163 | 752 | 10% |
(2)引風機變頻運行參數(風門擋板開度100%)
表5 引風機變頻運行參數 | |||||
負荷 | 風機A | 風機B | 概率 | ||
電流(A) | 頻率(Hz) | 電流(A) | 頻率(Hz) | ||
230MW | 62.5 | 39.26 | 57.8 | 39.88 | 35% |
250MW | 64.1 | 39.77 | 56.4 | 37.87 | 45% |
280MW | 86.1 | 42.08 | 89.2 | 43.9 | 20% |
7.1.2一次風機工變頻運行數據
(1)一次風機工頻運行參數(風門擋板開度100%)
表6 一次風機工頻運行參數 | |||||
負荷 | A風機 | B風機 | 概率 | ||
電流(A) | 轉速(r/min) | 電流(A) | 轉速(r/min) | ||
230MW | 110 | 1059 | 111 | 1037 | 25% |
250MW | 111 | 1049 | 111 | 1022 | 35% |
280MW | 112 | 1052 | 113 | 1018 | 30% |
300MW | 117 | 1074 | 113 | 1013 | 10% |
(2)一次風機變頻頻運行參數(風門擋板開度100%)
表7 一次風機變頻運行參數 | |||||
負荷 | 風機A | 風機B | 概率 | ||
電流(A) | 頻率(Hz) | 電流(A) | 頻率(Hz) | ||
230MW | 88.5 | 32.43 | 88.7 | 32.81 | 35% |
250MW | 98.2 | 36.4 | 96.3 | 35.44 | 45% |
280MW | 100.1 | 37.61 | 98.1 | 36.71 | 20% |
直接經濟效益(按電價0.478元/ kW?h)
表8 節能效益計算 | ||||
序號 | 設備名稱 | 單臺設備年(8000h)節電萬kW?h | 單臺設備年節約電費(萬元) | 年節約電費(萬元)總計 |
1 | 2套引風機 3000kW | 217.2 | 103.8 | 207.6 |
2 | 2套一次風機2200kW | 187.8 | 89.8 | 179.6 |
總計 | 387.2 | |||
使用4臺高壓變頻調速引風機、一次風機,與工頻調節相比較,經計算,引風機單臺變頻器全年可以節省2172000kW?h,一次風機單臺變頻器全年可以節省1878000kW?h,按發電價0.478元/kW?h計算,4臺變頻器全年共節約387.2萬元。
7.2其他效果
(1)風機變頻改造后,電機實現了軟啟動,消除了對電網和負載的沖擊,避免產生操作過電壓而損傷電機絕緣,延長了電動機和風機的使用壽命。
(2)采用變頻調節,減少了擋板節流損失,且能均勻調速,滿足生產需要,節約大量的電能。
(3)低負荷下轉速降低,減少了機械部分的磨損和振動,延長了風機大修周期,從而節省了大量的檢修費用。
(4)具有控制精度高、抗干擾能力強、諧波含量小的特點,且有完善的保護功能,有利于電動機和風機的安全運行。
8結束語
風光JD-BP38系列高壓變頻器在湖北某火力發電廠1#機組風機的調速改造中應用是成功的。高壓變頻器的先進性、可靠性已得到許多工業應用的證實。在各行各業,對于許多高壓大功率的風機水泵設備推廣和采用高壓變頻調速技術,不僅可以取得相當顯著的節能效果,而且也得到國家產業政策的支持。